Discover the project

Vision

BAYFLEX develops a flexible, organic, energy efficient, and fault-tolerant technology that can be used to read sensor data and make decisions. It works towards realizing comfortable devices for continuous personalized health monitoring, a growing need in Europe’s aging society.

Technology

BAYFLEX brings together and interdisciplinary consortium from three Eu countries (France, Spain, Germany) with diverse expertise. Three partners focus on developing the necessary technology for implementing the BAYFLEX idea and demonstrating its sustainability.

Technology

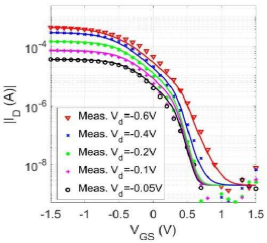
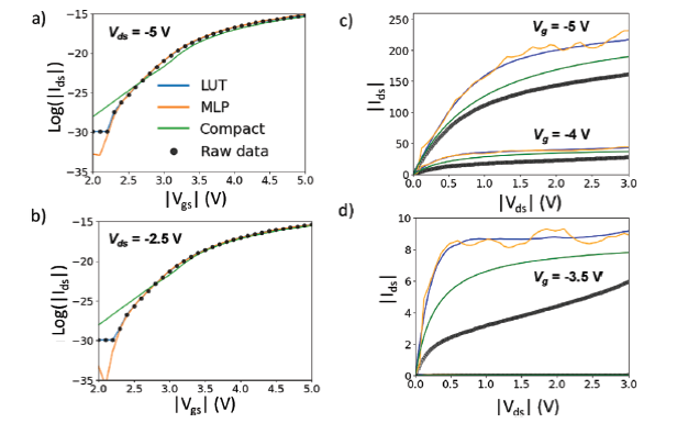
Modeling, Simulation and Applications

Three additional partners focus on simulations and modeling to ensure the optimization of the technology and benchmark it for applications.

Modeling, Simulations and Applications